Einführung in die PQ Formel
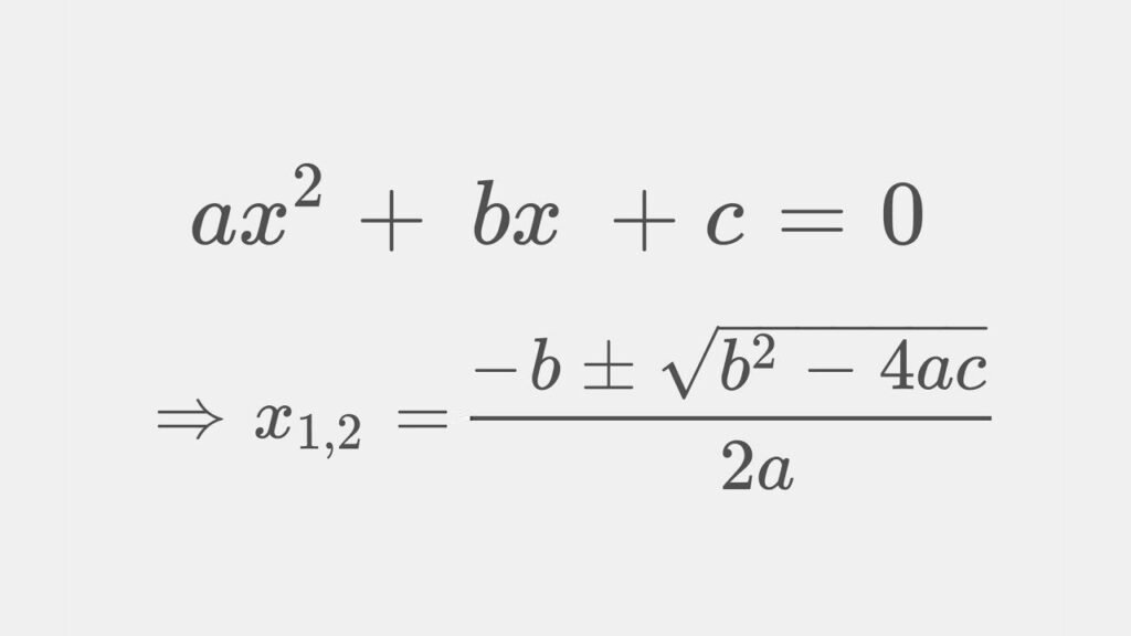
Die PQ Formel ist ein zentrales Konzept in der Mathematik, das zur Lösung quadratischer Gleichungen eingesetzt wird. Eine quadratische Gleichung hat die allgemeine Form ax² + bx + c = 0, wobei a, b und c Konstanten sind und a nicht gleich null sein darf. Diese Gleichungen sind in vielen mathematischen und naturwissenschaftlichen Anwendungen von wesentlicher Bedeutung und treten häufig in verschiedenen Kontexten auf, sei es in der Physik, der Ingenieurwissenschaft oder der Wirtschaft.
Die PQ Formel stellt eine vereinfachte Methode zur Lösung von quadratischen Gleichungen dar. Sie lautet: x² + px + q = 0, wobei p und q abgeleitet aus den Koeffizienten der ursprünglichen Gleichung sind. Diese spezifische Form erlaubt es, die Lösungen für x durch die Beziehung x = -p/2 ± √((p/2)² – q) zu berechnen. Dies ist ein entscheidender Vorteil, da es die Rechenarbeit erheblich reduziert, insbesondere in Situationen, in denen die Gleichungen komplex werden.
Die Anwendung der PQ Formel wird besonders relevant, wenn es darum geht, effizient und systematisch Lösungen zu finden, vor allem in der schulischen Ausbildung und im professionellen Umfeld. Ihre Nützlichkeit liegt nicht nur in der Lösung von Gleichungen, sondern auch im tieferen Verständnis der Beziehungen zwischen den Variablen einer Gleichung. Die PQ Formel ist daher ein wertvolles Werkzeug für Mathematikschüler, Studierende und Fachleute, die regelmäßig mit quadratischen Gleichungen arbeiten müssen.

Die Herleitung der PQ Formel
Um die PQ Formel herzuleiten, beginnen wir mit der allgemeinen Form einer quadratischen Gleichung, die wie folgt aussieht: x² + px + q = 0. Hierbei sind p und q konstante Terme. Ziel ist es, die Nullstellen x zu finden.
Der erste Schritt in der Herleitung besteht darin, die Gleichung so umzuformen, dass die quadratische Form leicht zu handhaben ist. Wir können die Gleichung umstellen, indem wir versuchen, sie als Quadratsumme darzustellen. Hierbei macht man von der Methode der quadratischen Ergänzung Gebrauch. Man lässt (x + b)² für die quadratische Terme x² + px, wobei b der Wert ist, der das Quadrat vervollständigt.
Um die vollständige quadratische Form zu erreichen, bestimmen wir b als die Hälfte von p: b = p/2. Einsetzen ergibt:
x² + px = (x + p/2)² – (p/2)²
Wir substituieren dies zurück in die ursprüngliche Gleichung und erhalten:
(x + p/2)² – (p²/4) + q = 0. Um die Gleichung zu vereinfachen, addieren wir auf beiden Seiten, was zu:
(x + p/2)² = (p²/4 – q) führt.
Die nächsten Schritte beinhalten das Anwenden der Quadratwurzel auf beide Seiten, um x zu isolieren. Wir erhalten so:
x + p/2 = ±√(p²/4 – q)
Schließlich formen wir nach x um und erreichen die PQ Formel:
x = -p/2 ± √(p²/4 – q). Diese Herleitung zeigt nicht nur, wie die PQ Formel entstanden ist, sondern veranschaulicht auch die wesentliche Rolle der Diskriminante D = p² – 4q in der Bestimmung der Anzahl der Lösungen dieser quadratischen Gleichung.
Anwendungsbeispiele der PQ Formel
Die PQ Formel, ein grundlegendes Werkzeug der Algebra, bietet eine effektive Methode zur Lösung von quadratischen Gleichungen, die in der Form x² + px + q = 0 vorliegen. In diesem Abschnitt werden verschiedene Anwendungsbeispiele vorgestellt, die verdeutlichen, wie die PQ Formel in unterschiedlichen Szenarien angewendet werden kann.
Beginnen wir mit einer einfachen quadratischen Gleichung: x² + 6x + 8 = 0. Hierbei identifizieren wir p = 6 und q = 8. Wir setzen die Werte in die PQ Formel ein, die angewendet wird, um die Lösungen für x zu finden. Durch das Berechnen der Diskriminante (D) und das Einsetzen in die Formel erhalten wir die Lösungen x₁ und x₂. Es ist wichtig, bei der Berechnung auf korrekte Vorzeichen und Schulden zu achten, um häufige Fehler zu vermeiden, die in den Resultaten resultieren können.
Ein komplexeres Beispiel könnte die Gleichung x² – 4x – 5 = 0 sein. Zunächst bringen wir die Gleichung in die richtige Form, um die PQ Formel anzuwenden. Hier wird deutlich, dass wir p = -4 und q = -5 haben. Durch die Anwendung der PQ Formel sind die Werte für x leicht zu bestimmen. Dennoch sollten wir besonders darauf achten, dass die Ergebnisse sowohl positiv als auch negativ sein können, was oft zu Verwirrung führt. Ein weiterer häufiger Fehler ist das Missverständnis beim Umgang mit negativen Zahlen, insbesondere bei der Berechnung der Quadratwurzel.
Die PQ Formel ist nicht nur auf einfache Gleichungen beschränkt, sondern muss auch bei praktischen Anwendungen wie physikalischen Problemen oder wirtschaftlichen Modellen genutzt werden. Es ist entscheidend, auch bei komplizierteren Gleichungen sicher in der Anwendung zu sein, um die Designbereiche zu analysieren oder optimale Werte zu finden.
Zusammenfassung und Fazit zur PQ Formel
Die PQ Formel stellt ein äußerst nützliches Instrument dar, um Lösungen für quadratische Gleichungen zu finden, die in der Form x² + px + q = 0 verfasst sind. Mit ihrem Fokus auf die Werte p und q ermöglicht sie Studierenden, auf einfache Art und Weise die Wurzeln der Gleichung zu berechnen. Der Prozess der Anwendung der PQ Formel umfasst die Berechnung des Ausdrucks nach der Formel x = -p/2 ± √((p/2)² – q), was sich als besonders hilfreich dabei erweist, die Lösungen zügig und akkurat zu ermitteln.
Die Relevanz der PQ Formel in der Mathematik lässt sich nicht hoch genug einschätzen, da sie in einer Vielzahl von Anwendungen sowohl in der reinen als auch in der angewandten Mathematik eingesetzt wird. Dabei reicht ihr Einfluss von der Lösung einfacher Schulaufgaben bis hin zu komplexen wissenschaftlichen Fragestellungen. Für Lernende und Studierende ist es wichtig, diese Methode nicht nur theoretisch zu verstehen, sondern sie in der Praxis durch Übungen zu festigen. Dies fördert nicht nur die mathematischen Fähigkeiten, sondern auch das Selbstbewusstsein und die Problemlösungskompetenz der Lernenden.
Darüber hinaus eröffnet das Erlernen der PQ Formel den Zugang zu weiterführenden Themen in der Algebra, wie der Faktorisierung quadratischer Funktionen und der Nutzung der Mitternachtsformel. Ein tiefgehendes Verständnis der PQ Formel und ihrer Anwendungen kann sich auch positiv auf zukünftige mathematische Studien auswirken. In der praktischen Anwendung empfiehlt es sich, die Schritte sorgfältig zu befolgen und regelmäßig zu üben, um die Sicherheit im Umgang mit quadratischen Gleichungen zu erhöhen.
